Предмет: Геометрия,
автор: honcharovamariia
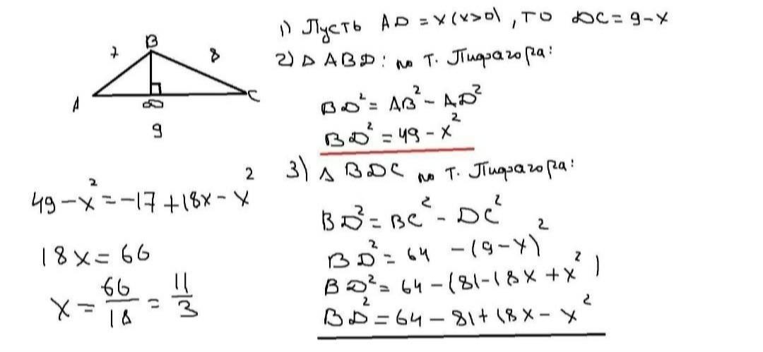
8. Знайти найменшу висоту трикутника, сторони якого дорівнюють 7см, 8см і 9см.
Ответы
Автор ответа:
0
Решение данного примера
Приложения:
Похожие вопросы
Предмет: Математика,
автор: Аноним
Предмет: Русский язык,
автор: shohistasizdikova
Предмет: Математика,
автор: strukoksana58
Предмет: География,
автор: aigulgaraeva05
Предмет: Математика,
автор: Дашка11Милашка