Предмет: Математика, автор: abuser333

Срочно, даю 50 б
Розв’язати систему рівнянь методом Гаусса в зошиті і розписати максимально, будь ласка

Приложения:

Ответы

Автор ответа: NNNLLL54
3

Ответ:

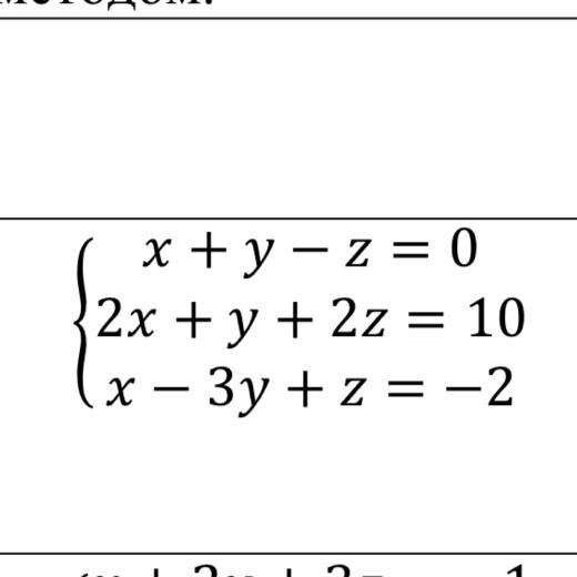
    \left\{\begin{array}{l}\bf x+y-z=0\\\bf 2x+y+2z=10\\\bf x-3y+z=-2\end{array}\right  

Составим расширенную матрицу системы и приведём матрицу к ступенчатому виду с помощью элементарных преобразований .

\left(\begin{array}{cccc}1&1&-1&|\ \ \ 0\\2&1&2&|\ \ 10\\1&-3&1&|-2\end{array}\right)\sim  \left(\begin{array}{cccc}1&1&-1&|\ \ \ 0\\0&-1&4&|\ \ 10\\0&-4&2&|-2\end{array}\right)\sim \left(\begin{array}{cccc}1&1&-1&|\ \ \ 0\\0&-1&4&|\ \ 10\\0&0&-14&|-42\end{array}\right)

Обратный ход.

\bf -14z=-42\ \ \to \ \ \ z=3\\\\-y+4z=10\ \ \to \ \ -y=10-4z=10-4\cdot 3=10-12=-2\ ,\ y=2\\\\x+y-z=0\ \ \to \ \ x+2-3=0\ \ ,\ \ x-1=0\ \ ,\ \ x=1

Ответ:  x=1 , y=2 , z=3 .

Похожие вопросы
Предмет: Английский язык, автор: Monnnnnnnnnnnnnn