Предмет: Алгебра,
автор: klimenko36857l
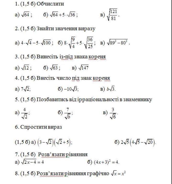
Помоги пожалуйста....
Приложения:
Ответы
Автор ответа:
0
Ответ:
а.2√3 б.3√7 в.7√3
Объяснение:
с остальным не могу помочь
Похожие вопросы
Предмет: Українська література,
автор: karolinakleopatra
Предмет: Русский язык,
автор: ailin878368
Предмет: Химия,
автор: dimahsryskeldi
Предмет: Геометрия,
автор: dasha119256
Предмет: Алгебра,
автор: Аноним