Предмет: Алгебра,
автор: bahaumadina
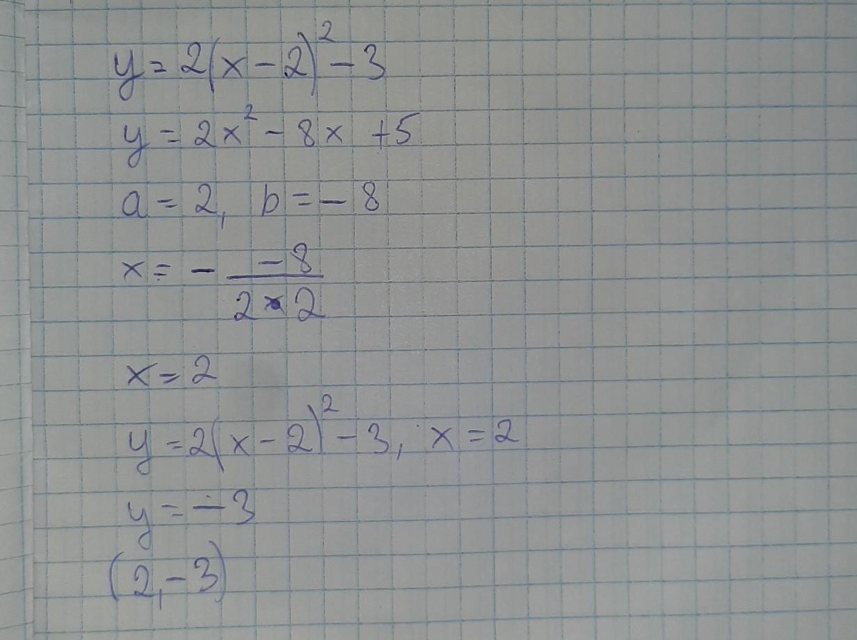
постройте график функции y=2(x-2)²-3
Ответы
Автор ответа:
0
Ответ:
вот хотя я 5 класс но откуда-то я это знаю и знала ,но сорян если это не правильно, я старалась
Объяснение:
мне кажется так
Приложения:
Похожие вопросы
Предмет: Математика,
автор: darinakondratova64
Предмет: Литература,
автор: aavvhell
Предмет: Математика,
автор: kotkuza18
Предмет: Литература,
автор: AkiroKilin