Предмет: Математика,
автор: tatibot20
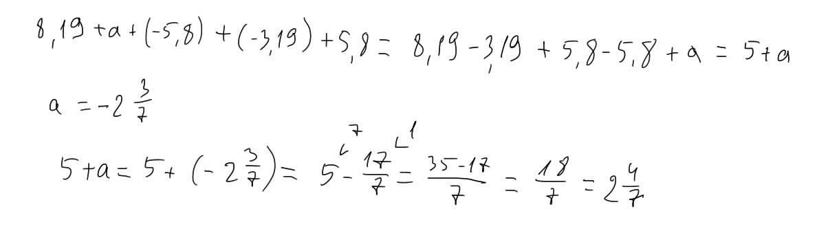
Спростіть вираз 8,19 + а + (-5,8) + (-3,19) + 5,8 і знайдіть його значення, якщо а= - дві цілих три сьомих
Ответы
Автор ответа:
2
Ответ:
Пошаговое объяснение:
Группируем слагаемые для упрощения вычислений.
Приложения:
Похожие вопросы
Предмет: Геометрия,
автор: violqxxa
Предмет: Алгебра,
автор: fomichev137daniil
Предмет: Английский язык,
автор: muntanvaleriya2010
Предмет: Биология,
автор: ksiskin76
Предмет: Қазақ тiлi,
автор: nurbekbahitovich