Предмет: Геометрия,
автор: hloyaidv
помогите пожалуйста !!!!
Приложения:
Ответы
Автор ответа:
0
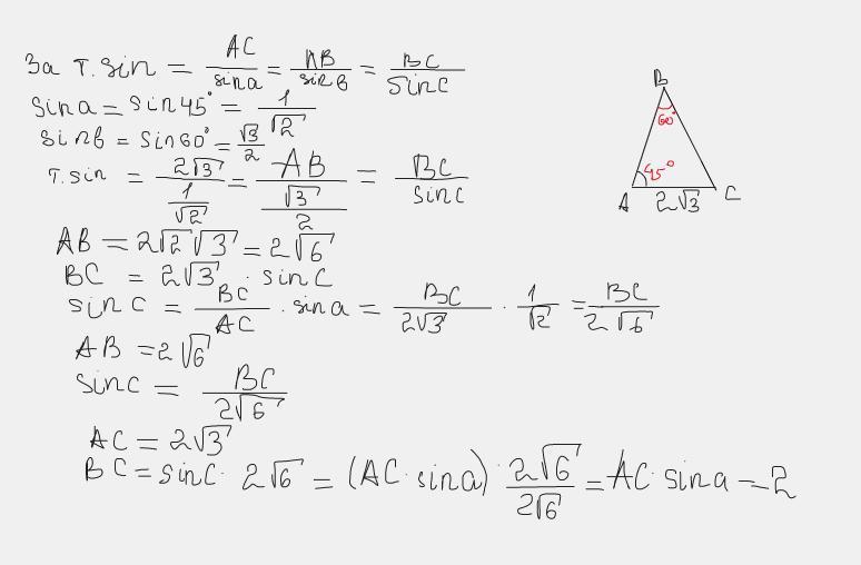
Відповідь:
На фото нижче
Пояснення:
Приложения:
Похожие вопросы
Предмет: Алгебра,
автор: niashgames35
Предмет: Литература,
автор: Аноним
Предмет: Английский язык,
автор: Ordukhanyan2011
Предмет: Геометрия,
автор: UKTAMOVJONI
Предмет: Русский язык,
автор: Fhggyu