Предмет: Алгебра,
автор: soradionov1
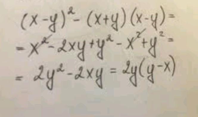
Спростіть вираз (x+y)^2(x-y)^2
Ответы
Автор ответа:
0
Ответ:
если не понятно мне пиши
Приложения:
Похожие вопросы
Предмет: МХК,
автор: mendofi06
Предмет: Другие предметы,
автор: nika9198
Предмет: Химия,
автор: bugushevrustam21
Предмет: История,
автор: sbc3racha
Предмет: Алгебра,
автор: slykovdaniil100