Предмет: Математика,
автор: asanovn69
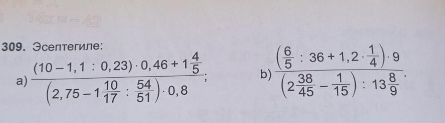
можно быстырее пжпж....
Приложения:
Ответы
Автор ответа:
2
.......................
Приложения:
Похожие вопросы
Предмет: Математика,
автор: maks80968365375
Предмет: География,
автор: lomakatv89
Предмет: Математика,
автор: nargistumeneva
Предмет: Английский язык,
автор: ere687312rererer
Предмет: Информатика,
автор: Аноним