Предмет: Алгебра,
автор: sergeikozak71
Помогите пожалуйста решить!!!
Приложения:
ВикаБач:
Пусть a=sqrt(x); b=sqrt(y); (так проще, лучше всё видно). Выражение=(2a+5b) -3b =2(a+b)=2*4=8;
Ответы
Автор ответа:
0
Ответ:
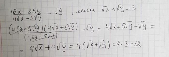
вот пожалуйста поставь 5 звезд
Приложения:
??? Это ведь ДРУГОЙ пример!!!! ???
Похожие вопросы
Предмет: Українська мова,
автор: dkolok83
Предмет: Английский язык,
автор: linkamir2805
Предмет: Математика,
автор: marina19096
Предмет: Математика,
автор: mstasayy777
Предмет: Алгебра,
автор: snezanalubagina