Предмет: Математика,
автор: marina121217
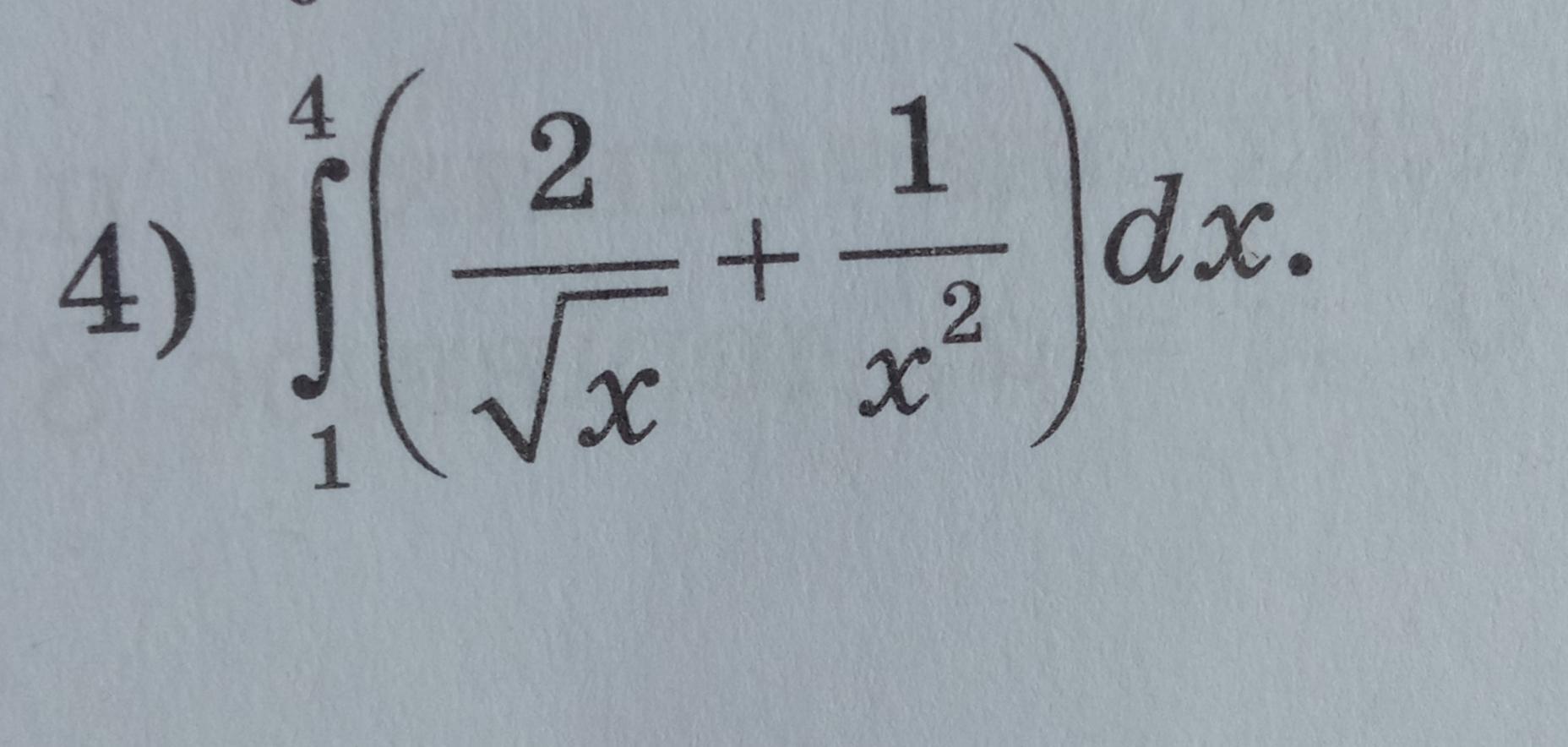
Народ, поможіть зробити, даю 100 балів
Приложения:
Ответы
Автор ответа:
0
Ответ:
4,75 ............
Похожие вопросы
Предмет: Физика,
автор: sofiiamishchenko2709
Предмет: Алгебра,
автор: Ua4
Предмет: Английский язык,
автор: wakkswww
Предмет: Математика,
автор: Аноним