Предмет: Математика,
автор: parubecnatalia443
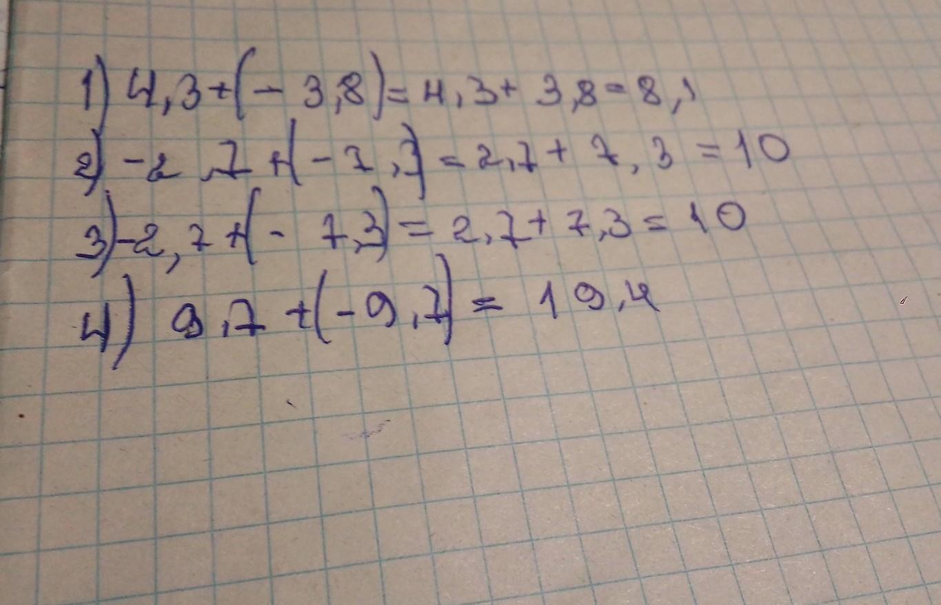
4,3+(-3,8)=; -2,7+(-7,3)=; -2,7+(-7,3)=; 9,7+(-9,7)=;
срочно надо
Ответы
Автор ответа:
1
Пошаговое объяснение:
повєзло я почав цю тему називається модуль числа
Приложения:
Похожие вопросы
Предмет: Физика,
автор: tashizzz
Предмет: Русский язык,
автор: taetaejkforver
Предмет: Химия,
автор: safrananna9
Предмет: Русский язык,
автор: bekapacific
Предмет: Английский язык,
автор: qflorof