Предмет: Математика,
автор: davydenkom
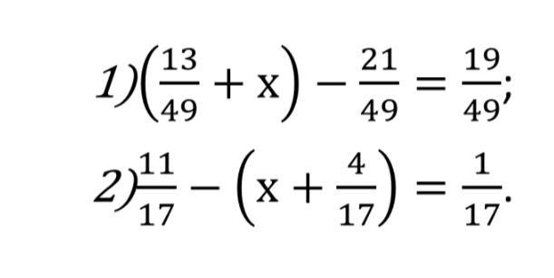
Решите пожалуйста рівняння!
Приложения:
Ответы
Автор ответа:
1
..................................
Приложения:
Похожие вопросы
Предмет: Математика,
автор: kolego2017
Предмет: География,
автор: anastasiyasklyarova1
Предмет: Алгебра,
автор: bmwfan059
Предмет: Математика,
автор: alenushkaalenushka97
Предмет: Физика,
автор: Iriskina