Предмет: Алгебра,
автор: dbezuglyj5
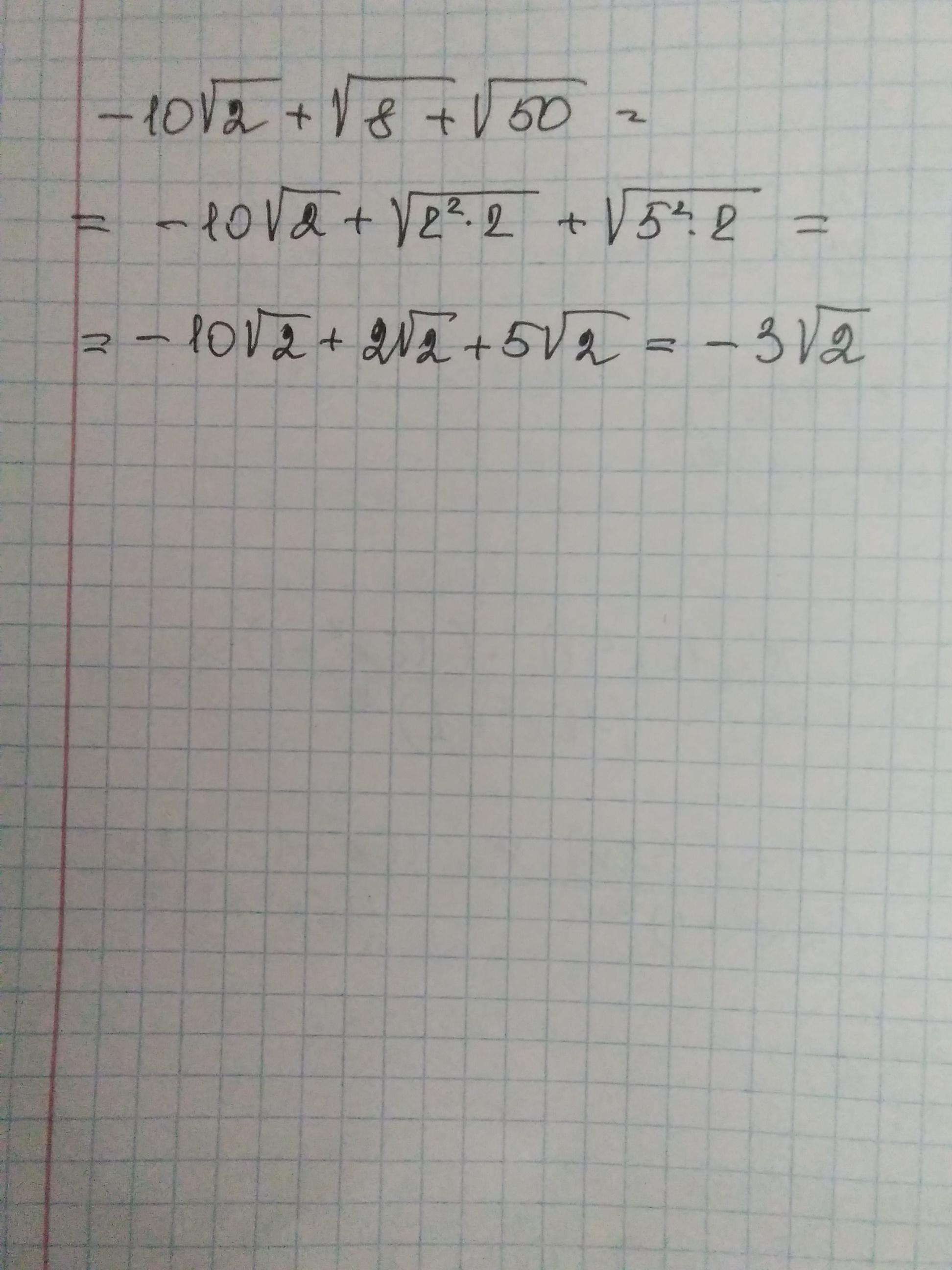
Спростіть вираз: -10√2+√8+√50
срочно
Ответы
Автор ответа:
1
Смотри..................
Приложения:
Похожие вопросы
Предмет: Математика,
автор: katyabouko08
Предмет: Қазақ тiлi,
автор: aiekenovainju
Предмет: Химия,
автор: Jisonhee
Предмет: Английский язык,
автор: Kati1111555
Предмет: Русский язык,
автор: videohome73