Предмет: Алгебра,
автор: artembolo06
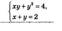
Укажіть пару чисел, яка є розв'язком системи рівнянь
Приложения:
Ответы
Автор ответа:
0
Ответ:
вроде правильное решение
Приложения:
Похожие вопросы
Предмет: Математика,
автор: lavrenyuk310111
Предмет: Математика,
автор: jenytorchuk
Предмет: История,
автор: gricenkobogdan367
Предмет: Информатика,
автор: kigeci3167
Предмет: Английский язык,
автор: Аноним