Предмет: Алгебра,
автор: mikomikomiilk
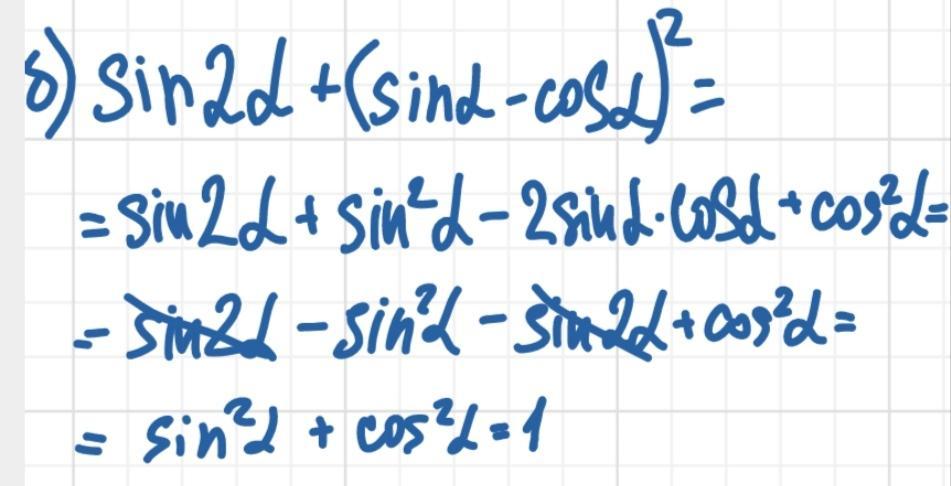
2. Упрорстите выражение: a) sin (3/2π- a) - cos(π + a) б)sin2a + (sin a - cos а)²
Ответы
Автор ответа:
0
a) sin (3/2π- a) - cos(π + a)=
-cosα+cosα=0
Приложения:
Похожие вопросы
Предмет: Литература,
автор: andrewuniversity255
Предмет: Қазақ тiлi,
автор: aliiaumbetova12
Предмет: Українська мова,
автор: salykila84
Предмет: Математика,
автор: 25895
Предмет: Қазақ тiлi,
автор: adele100110