Предмет: Алгебра,
автор: KreinalYT
Пожалуйста помогите мне до завтра надо
Приложения:
Ответы
Автор ответа:
1
5. Ответ Г т.к., парабола положительная, значит ее "ветви" направлены вверх, а +2 обозначает перемещение графика на 2 вверх по оси У.
6. Ответ Б, т.к. если мы перемножим выражения в скобках мы получим 3-х
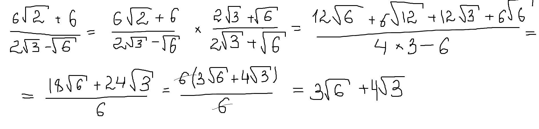
7.
8. На фотографии.
9. На фотографии 2. Только что требуется дорешать?
Приложения:
KreinalYT:
Спасибо вам огромное!
Похожие вопросы
Предмет: География,
автор: skitik92
Предмет: Українська література,
автор: bojkomaks22
Предмет: Английский язык,
автор: baktashafzal123
Предмет: Немецкий язык,
автор: 888777666555444
Предмет: Литература,
автор: andrevansss