Предмет: Алгебра,
автор: ii2757137
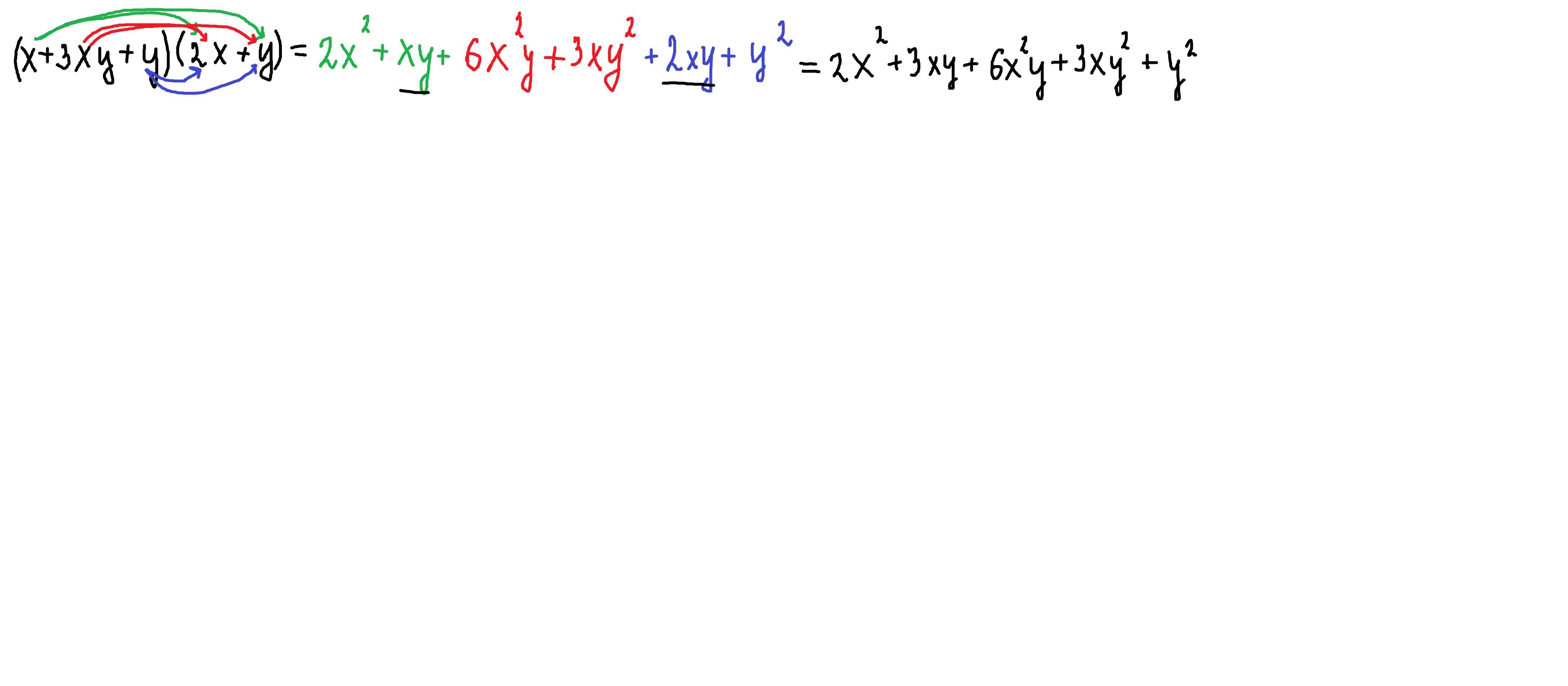
Представьте в виде многочлена выражения (X + 3Xy + y )(2x + y)
Ответы
Автор ответа:
1
Ответ:
Объяснение:
решение внизу
Приложения:
ii2757137:
спасибо
пожалуйста
Похожие вопросы
Предмет: Алгебра,
автор: leila20
Предмет: Химия,
автор: choo01ai
Предмет: Математика,
автор: adamsamadov20
Предмет: Математика,
автор: merenkovaarina
Предмет: Литература,
автор: revikiny70