Предмет: Алгебра,
автор: vasmanplay
Помогите СРОЧНООО!
))
Приложения:
Ответы
Автор ответа:
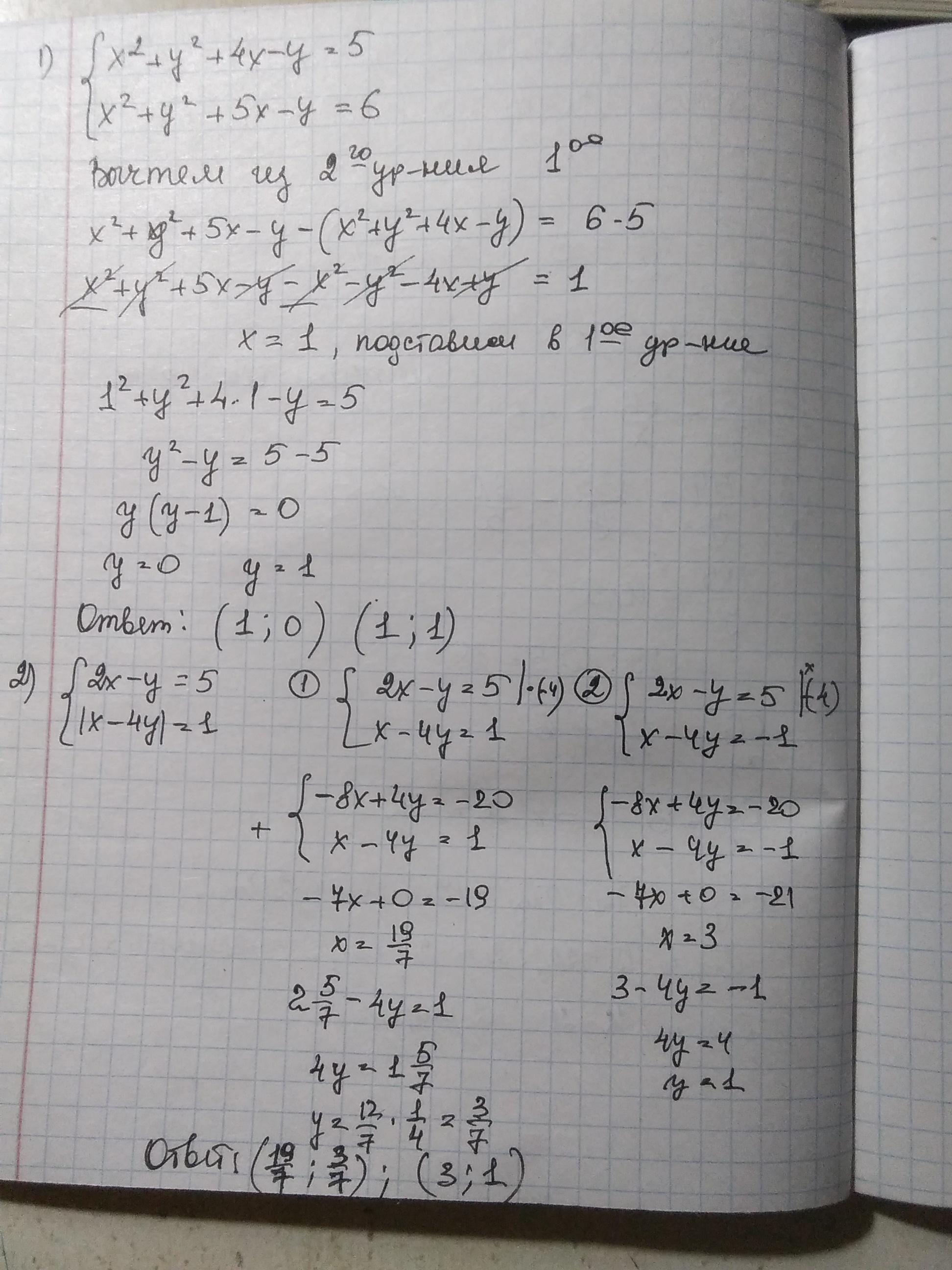
1
Смотри.............
Приложения:
vasmanplay:
Куда ?
Похожие вопросы
Предмет: Математика,
автор: UKRpatrick
Предмет: Алгебра,
автор: Steev535358
Предмет: Оʻzbek tili,
автор: aferuza223
Предмет: Английский язык,
автор: valeriacubareva