Предмет: Математика,
автор: nikitHUETA
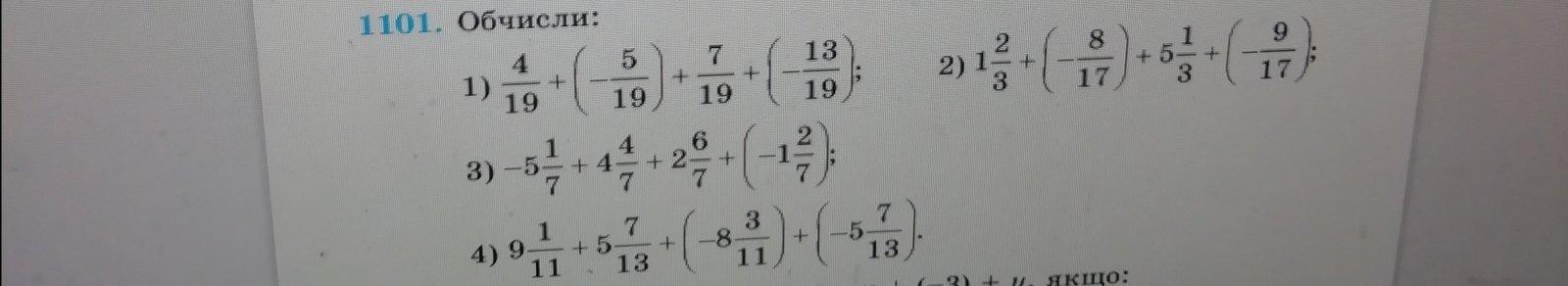
номер 1101 первый и второй пример (третий и четвертый не надо)
Приложения:
Ответы
Автор ответа:
0
Ответ:
надо 635 надо будет сделать в школу не могу найти
Автор ответа:
1
Пошаговое объяснение:
вот неручяюсь ща правельны ответ!!!
Приложения:
Похожие вопросы
Предмет: Українська мова,
автор: n4795678
Предмет: Математика,
автор: andrianalisana
Предмет: Геометрия,
автор: nazarsugokon20
Предмет: Информатика,
автор: ma0ma0ma
Предмет: Обществознание,
автор: kirillponomarev8815