Предмет: Алгебра,
автор: petrichenkomaksim
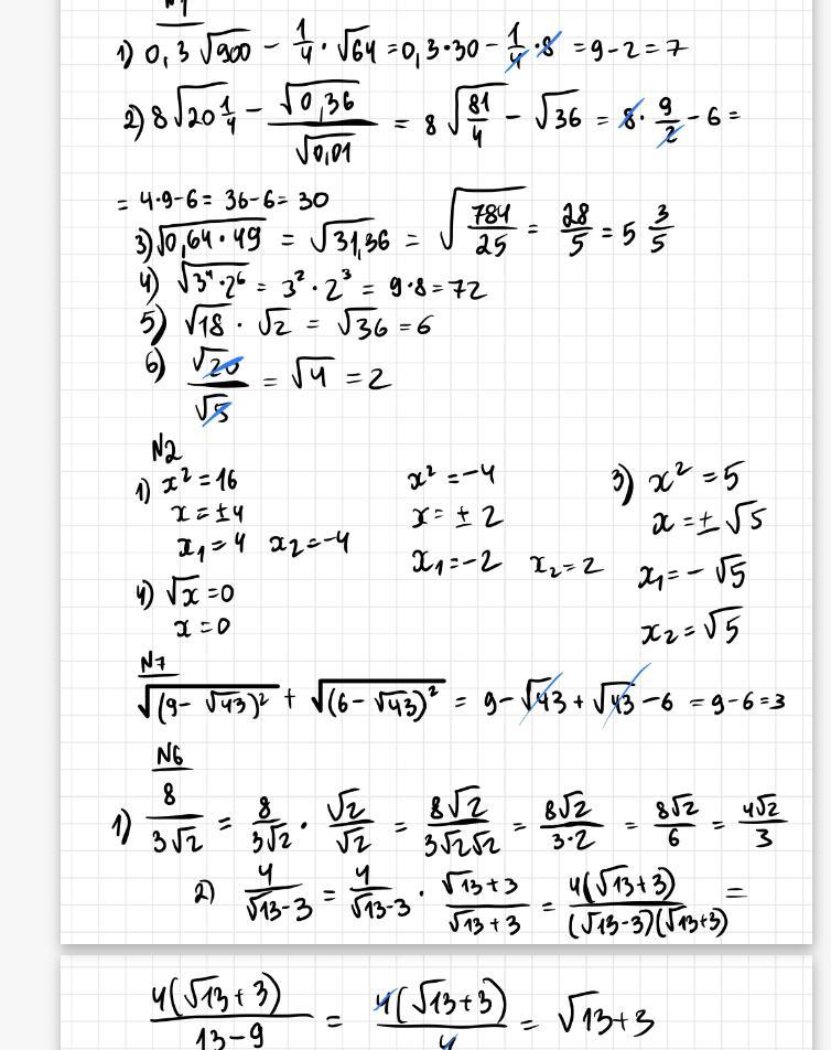
srochno spasite pacana
Приложения:
Ответы
Автор ответа:
1
На держи
Дай лучший ответ пж
….()()()()….
Дай лучший ответ пж
….()()()()….
Приложения:
Похожие вопросы
Предмет: Английский язык,
автор: dashaovdienko19
Предмет: Химия,
автор: irunaprushnivska0610
Предмет: Химия,
автор: Аноним
Предмет: Химия,
автор: RaZoR781