Предмет: Математика, автор: irinafamilina0

Будь ласка решите дам 10 баллів

Приложения:

Ответы

Автор ответа: Patelnya
0

Відповідь:

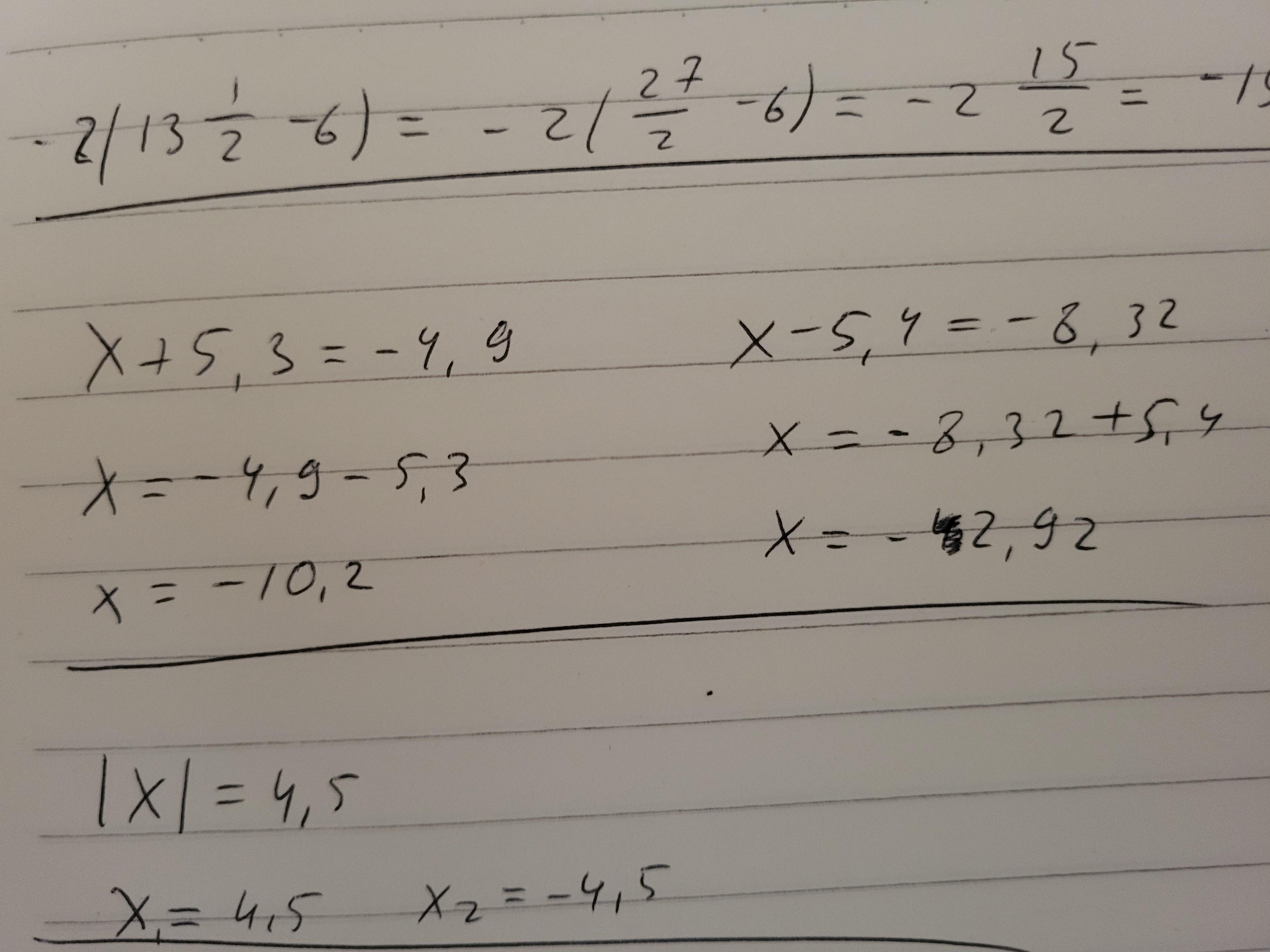
1) х= -10.2 2) х=-2.92

Покрокове пояснення:

Приложения:

Evgenia4836: ошибка во втором
Patelnya: Побачила, дякую
Автор ответа: diii00
0

Ответ:

1) х+5,3=-4,9

х=-4,9-5,3

х=-10,2

2) х-5,4=-8,32

х=-8,32+5,4

х=-2,92

Похожие вопросы
Предмет: Алгебра, автор: burundasovm
Предмет: Физкультура и спорт, автор: markkozloa
Тест « Метание малого мяча»

1. На уроках физ культуры обучающие выполняют прикладные виды метания – это…
а) метание малого мяча и гранаты;
б) метание молота и копья;
в) метание ядра и диска.

2. Метание это-
а) это физическое упражнение для развития и укрепления организма.
б) это одно из легкоатлетических упражнений, в котором, с помощью взрывной силы мышц, требуется совершить бросок мяча как можно дальше.
в) это самый распространенный вид действий упражнений, которые выполняются при метании снаряда

3. Каким способом не выполняется метание малого мяча?
а) с места
б) из-за головы
в) из под ног

4. Как рекомендуется выполнять метание мяча?
а) рекомендуют выполнять метание мяча, соблюдая все правила и технику безопасности.
б) рекомендуется выполнять метание мяча с максимальной силой, так как мышцы и связки ещё не адаптировались к таким нагрузкам, в результате можно получить травму.
в) рекомендуется выполнять метание мяча, с разрешением контроля учителя и его сигнала.

5. Как называют положение метателя при броске мяча на дальность: «Выброс мяча начинается в тот момент, когда разгибается правая нога в колене. Это движение позволяет переместить вперед и вверх таз, в то время как плечи остаются почти на месте. Кисть руки необходимо развернуть ладонью вверх, поворачивая при этом руку в плече и сгибая ее в локте. Все эти движения позволяют максимально растянуть мышцы правой стороны туловища, передней части правого бедра и правого плеча. Такое положение метателя называется…»
а) «вытянутый лук»;
б) «растянутый лук»;
в) «натянутый лук».

6. Метание мяча с места-
а) этот способ представляет собой перемещение только руки спортсмена со снарядом для метания. Выполняется движение руки над плечом из-за головы.
б) при исходном положении ноги поставлены на ширине плеч, левая нога отставлена назад, правая рука полусогнута в локте на уровне грудной клетке. При замахе правая рука отводится назад за голову, бросок совершается вперед-вверх.
в) при замахе туловище наклоняется назад, тяжесть тела переносится на правую ногу, согнутую в колене, правая рука полусогнута в локте, отводится назад за голову. При броске правая нога прямая, туловище поворачивается, а правая рука поднимается вверх и совершает бросок мяча, доводя полусогнутой кистью.
7. Посмотри внимательно на рисунок и определи, где изображено правильное удержание мяча для метания.

а) б) в)
8. Какой вес снаряда используется при метании мяча?
а) 148 гр
б) 150 гр
в) 149 гр

9. Из какого положения выполняется метание мяча на дальность?
а) лежа;
б) стоя;
в) сидя.

10. С началом какого движения отведение и замах заканчиваются?
а) Приседание
б) Ускорение
в) Скрестный шаг

11. Как правильно удержать мяч при метание?
а) В фалангах пальцев
б) Двумя руками
в) Всей кистью

12. При выполнении броска на дальность…
а) мяч для метания необходимо держать на уровне плеча, локоть направлен вперед;
б) мяч для метания необходимо держать за головой и чуть выше ее уровня, локоть не должен быть выше плеча, и плечо с предплечьем должны составлять угол меньше 90°;
в) мяч для метания необходимо держать в опущенной прямой руке на уровне бедра.
13. С помощью какого знака судья показывает, что результат засчитан?
а) Поднятием правой руки
б) Белым флажком
в) Зеленым флажком
г) Тройным свистком
14. Что не относится к технике безопасности при метании мяча?
а) нельзя подавать снаряд для метания друг другу броском.
б) нельзя стоять справа от метающего, находиться в зоне броска.
в) выполнять разминку перед метанием снаряда