Предмет: Алгебра, автор: Аноним

Спростіть вираз:



1) (a-4) (а^2+4а+16)-(а-2)(а+2)=

2) b(b-1)^2-(b-5)(b^2+5b+25)=


raremeisjee: де помилка
raremeisjee: так я не багу поминки, мабуть я сліпа
raremeisjee: я исправила

Ответы

Автор ответа: raremeisjee
1

Ответ:

фото прикрепила

Объяснение:

в фото ниже

Приложения:
Автор ответа: raspberry12
4

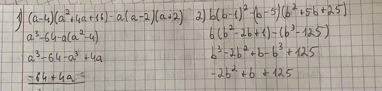
1)

(а - 4)(а² + 4а + 16) - а(а - 2)(а + 2)

а³ - 64 - а • (а² - 4)

а³ - 64 - а³ + 4а

-64 + 4а

2)

b (b - 1)² - (b - 5)(b² + 5b + 25)

b • (b² - 2b² + 1) - (b³ - 125)

b³ - 2b² + b - b³ + 125

-2b² + b + 125


raspberry12: можно лучший ответ ❤️ пожалуйста заранее спасибо
raremeisjee: сейчас исправлю
raspberry12: я исправила можешь поставить
raspberry12: лучший
raspberry12: пж
amina71325: мммммммм
Похожие вопросы
Предмет: Алгебра, автор: miroslavzaharchenkov
Предмет: Английский язык, автор: wsz6255
Предмет: Русский язык, автор: Аноним