Предмет: Алгебра,
автор: stoianovaksenia927
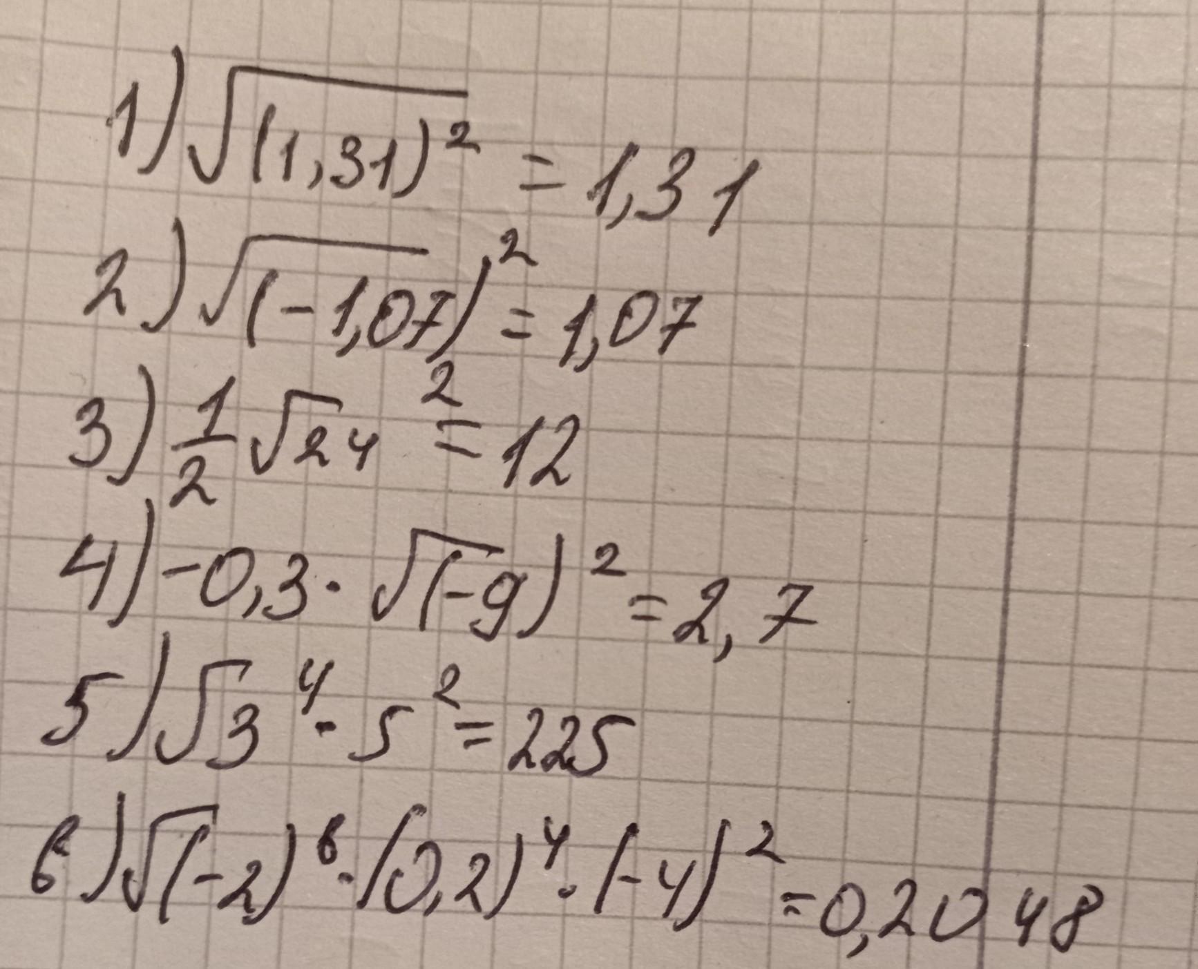
1)√(1,31)²=..
2)√(-1,07)²=..
3)1/2√24²=..
4)-0,3*√(-9)²=..
5)√3⁴*5²=..
6)√(-2)⁶*(0,2)⁴*(-4)²=..
Ответы
Автор ответа:
1
Ответ:
Ответ прикреплен
Объяснение:
ппхпзпз
Приложения:
Автор ответа:
0
1) 1,31
2) 1,07
3)12
4)-2,7
5)45
6)0,2048
2) 1,07
3)12
4)-2,7
5)45
6)0,2048
Приложения:
Похожие вопросы
Предмет: Алгебра,
автор: vitaliklesuk03
Предмет: Алгебра,
автор: PoNiatnokk
Предмет: Математика,
автор: kirilldragon2909
Предмет: Математика,
автор: mlevi08