Предмет: Алгебра, автор: marinaivanenko96

люди умоляю СПАСАЙТЕ!!!!! очень срочно!!!!!!!
геометрия 7 клас!!!
даю 90 баллов!!!!​

Приложения:

kataga: 1 ответ Г (х=4)
kataga: 2 ответ А ( х-3=х+3 )
kataga: 3 ответ Б

Ответы

Автор ответа: kataga
0

Решение смотри на фото

Приложения:

marinaivanenko96: а где остальные задания??!!!!
kataga: добавила 4 и 5
kataga: добавила 6
Автор ответа: ludmilaksenija2005
0

Объяснение:

1.

7х-5=5х+3

7х-5х=3+5

2х=8

х=8:2

х=4

ответ: Г

2.

А)

х-3=х+3

-3=3

ø

Б)

х+3=х+3

3=3

x∈R

В)

3-х=х-3

-х-х= -3-3

-2х= -6

х= 3

Г)

3-х=x+3

-x-x=3-3

-2x=0

x=0

ответ: А

3.

5х=3(х+1)-2

5х=3х+3-2

5х-3х=1

2х=1

х=1/2

ответ: Б

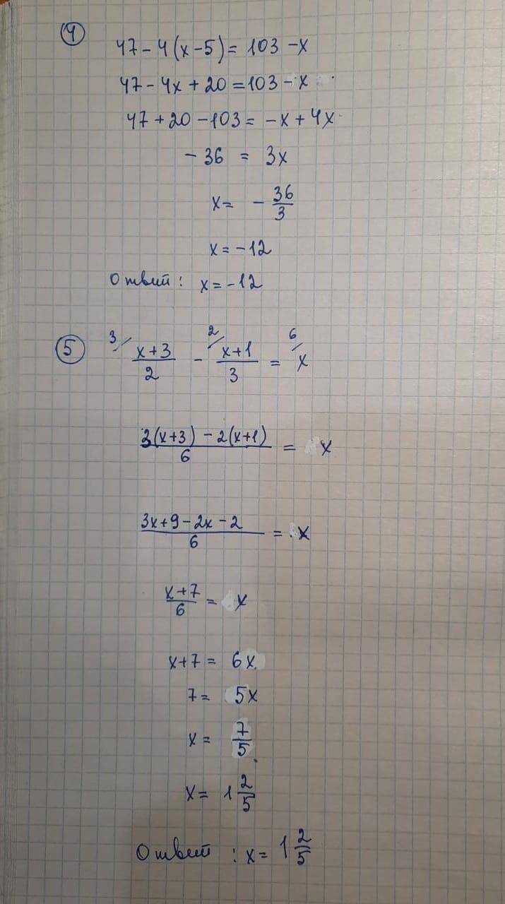
4.

47-4(х-5)=103-х

47-4х+20=103-х

67-4х=103-х

-4х+х=103-67

-3х=36

х=36:(-3)

х= -12

5.

(х+3)/2 - (х+1)/3 =х •6

3(х+3)-2(х+1)=6х

3х+9-2х-2=6х

х+7=6х

х-6х= -7

-5х= -7

х= -7:(-5)

х=1,4

6.

0,8(1+2у)-у=0,1(8+6у)

0,8+1,6у-у=0,8+0,6у

0,6у=0,6y

y∈R

7.

а)

(5-а)х=а-5

если (5-а)=0 ; 0=а-5 => а=5,то уравнение имеет вид 0х=0 , соответственно,имеет бесконечное множество корней.

ответ: а=5

б)

ах+1=2-х

ах+х=2-1

х(а+1)=1

при а= -1 выражение (а+1)=(-1+1)=0

х•0=1 ложь

при а= -1 нет решения.

ответ: а= -1

Похожие вопросы
Предмет: Английский язык, автор: kamillavasilevskaa2
Предмет: Психология, автор: lenamatinenkoolena