Предмет: Математика,
автор: nnnmaryaand26
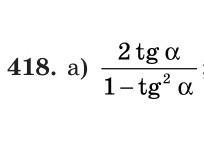
Спростіть

Приложения:
Ответы
Автор ответа:
2
Ответ:
Это формула тангенса двойного угла .
Докажем это , применяя формулы синуса и косинуса двойных углов.
Приложения:
nnnmaryaand26:
можешь пожалуйста написать на листочке ,просто очень плохо видно (
смотри скрин
СПАСИБО ОГРОМНОЕ!!!!!
Пожалуйста
Похожие вопросы
Предмет: Русский язык,
автор: stas22502
Предмет: Информатика,
автор: baikazakovaaknux
Предмет: Қазақ тiлi,
автор: nurdaulet6613
Предмет: Физика,
автор: sisters2020love
Предмет: Русский язык,
автор: senpaitadaroki86