Предмет: Математика,
автор: malikaali201202
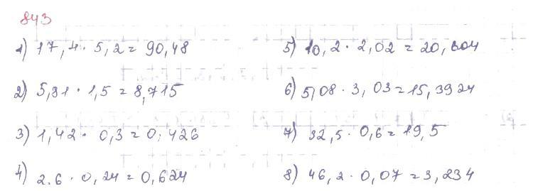
Выполните умножение (842-844). 842. 1) 6,3 1,8; 3) 0,8 4,6; 2) 5,6 2,5; 4) 0,3 1,5; 843. 1) 17,4 5,2; 2) 5,81 1,5; 844. 1) 7,22 2) 0,61 3) 0,25 * 0,08; 0,023; 1,32; 3) 1,42 0,3; 4) 2,6 0,24; ● 4) 0,91 5) 0,14 6) 0,6 . 5) 1,9 6) 6) 0,2 0,2 · 5) 10,2 6) 5,08 0,2; 0,25; 0,08; 3,5; 8,5; 8,5; 7) 2,5 - 0,9; 8) 1,7 0,3. PAPER 2,02; 7) 32,5-0,6; 3,03; 8) 46,2 0,07. 7) 3,52 - 0,7; 8) 16,03 9) 36,1 9) 36,1 0,5. *. Давайте решайте, иначе вам прелетит Ци Ци
Приложения:
Ответы
Автор ответа:
8
Ответ:
Пошаговое объяснение:
На фото надеюсь видно
Приложения:
ahmetovselim753:
ne vidno
не видно
почему видно же всё
vidno
спасибо
Похожие вопросы
Предмет: Другие предметы,
автор: samiraanvarova210
Предмет: Математика,
автор: kaparbekovatai
Предмет: Алгебра,
автор: q28513142
Предмет: География,
автор: flvbyvjkjhxbr