Предмет: Математика, автор: malchiksameik

Помогите срочно по действиям

Приложения:

Ответы

Автор ответа: сок111213
1

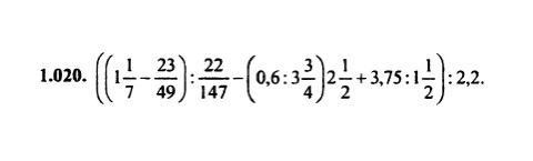
((1 \frac{1}{7}  -  \frac{23}{49} ) \div  \frac{22}{147}  - (0.6 \div 3 \frac{3}{4} ) \times 2 \frac{1}{2}  + 3.75 \div 1 \frac{1}{2} ) \div 2.2 =  3\\ 1) \: 1 \frac{1}{7}  -  \frac{23}{49}  = 1 \frac{7}{49}  -  \frac{23}{49}  =  \frac{56 - 23}{49}  =  \frac{33}{49}  \\ 2) \:  \frac{33}{49}  \div  \frac{22}{147}  =  \frac{33 \times 147}{49 \times 22}  =  \frac{3 \times 3}{2}  =  \frac{9}{2}  = 4 \frac{1}{2} = 4.5  \\ 3) \: 0.6 \div 3 \frac{3}{4}  =  \frac{3 \times 4}{5 \times 15}  =  \frac{4}{5 \times 5}  =  \frac{4}{25}   \\ 4) \:  \frac{4}{25}  \times 2 \frac{1}{2}  =  \frac{4 \times 5}{25 \times 2}  =  \frac{2}{5}  = 0.4 \\ 5) \: 3.75 \div 1 \frac{1}{2}  =  \frac{15 \times 2}{4 \times 3}  =  \frac{5}{2}  = 2.5 \\ 6) \: 4.5 - 0.4 + 2.5 = 7 - 0.4 = 6.6 \\ 7) \: 6.6 \div 2.2 = 3

Похожие вопросы
Предмет: Математика, автор: inanminich