Предмет: Алгебра,
автор: bekovamaral95
Все формулы по алгебре
Ответы
Автор ответа:
0
Ответ:
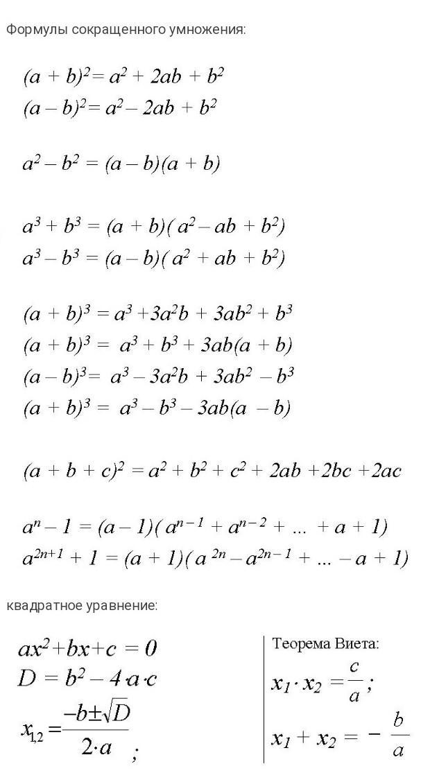
пожалуйста надеюсь помог
Приложения:
Автор ответа:
1
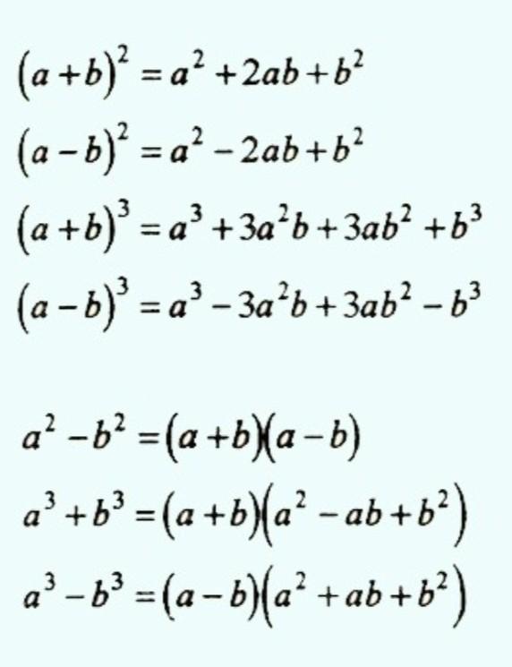
Ответ:
это ответ, всё на картинках есть просто тут написано что надо писать не менее 20 символов
Приложения:
Похожие вопросы
Предмет: Українська мова,
автор: egoralkin10
Предмет: Математика,
автор: lizanovo777
Предмет: История,
автор: ira642056
Предмет: Українська мова,
автор: dajer42916
Предмет: Литература,
автор: abdurahmanovdunamali