Предмет: Математика,
автор: lizakri369
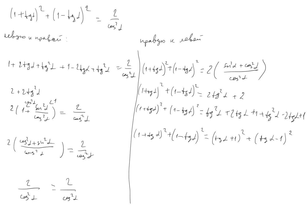
помогите пожалуйста, надеюсь почерк поймете; нужно правую часть свести к левой
Приложения:
Warlock1:
а левую к правой можно?
ну там подходит только свести правую к левой
ой,извините, там как раз нужно свести как вы сказали
Ответы
Автор ответа:
1
Ответ:
Пошаговое объяснение:
Обычно нужно просто доказать тождественность и без разницы правую к левой или левую к правой. В общем, выбирай.
Приложения:
вы бы не могли мне помочь с ещё одним примером которые самый верхний в моих вопросах? буду очень благодарна
Похожие вопросы
Предмет: Математика,
автор: ABOBA105
Предмет: Химия,
автор: Аноним
Предмет: МХК,
автор: ketiokonu
Предмет: Алгебра,
автор: lipinkirill68