Предмет: Алгебра,
автор: Evgen1x
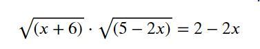
Помогите решить уравнение на фото
Приложения:
Ответы
Автор ответа:
1
Відповідь: х=-2
Пояснення:
розв'язання завдання додаю
Приложения:
Evgen1x:
а є розв'язок ?
Похожие вопросы
Предмет: Математика,
автор: daanailasova0
Предмет: Химия,
автор: annakycherencko
Предмет: Алгебра,
автор: rashitbekov08
Предмет: История,
автор: robertt35