Предмет: Математика,
автор: molozhonsoff
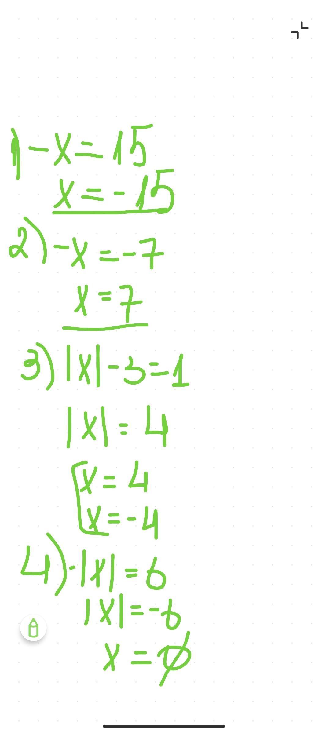
Розв'яжи рiвняння:
Приложения:
Ответы
Автор ответа:
0
Відповідь:
Покрокове пояснення:
Приложения:
Похожие вопросы
Предмет: Математика,
автор: asamtikova
Предмет: Українська мова,
автор: nohijj
Предмет: Алгебра,
автор: kristina010222
Предмет: Математика,
автор: Davidsb