Предмет: Алгебра,
автор: s1252053
помогите пожалуйста!!!!ОЧЕНЬ СРОЧНО!!!!
Приложения:
Ответы
Автор ответа:
1
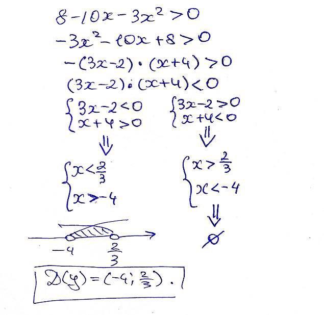
дивіться фото.........................
Приложения:
s1252053:
спасибо
Похожие вопросы
Предмет: Информатика,
автор: Vika5359kk
Предмет: Литература,
автор: Аноним
Предмет: Русский язык,
автор: nargulamanaliewa
Предмет: История,
автор: Аноним
Предмет: Қазақ тiлi,
автор: darhanerkebekov