Предмет: Математика, автор: pandahkaplay0

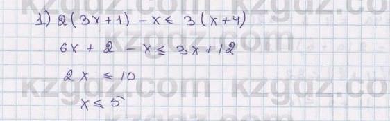
и еще два один пример 6) 4(3у-1)>2(3+у). спасибо и еще я дам 10 баллов ​

Приложения:

Ответы

Автор ответа: kalkeshevasabina
1

Пошаговое объяснение:

думаю что помогла, удачи

Приложения:

pandahkaplay0: а вы девочка
pandahkaplay0: просто интересно
kalkeshevasabina: да я девочка
kalkeshevasabina: Я добавила
pandahkaplay0: давай номерами скинемся
kalkeshevasabina: давай ты
pandahkaplay0: ок
kalkeshevasabina: я тебе напишу
pandahkaplay0: ок
pandahkaplay0: 87778032833
Похожие вопросы
Предмет: Алгебра, автор: khudayberganovt
Предмет: Русский язык, автор: Terebonic


Помогите СРОЧНО Пожалуйста




КОНТРОЛЬНАЯ РАБОТА ПО РУССКОМУ ЯЗЫКУ ПО

1.Найдите словосочетание, в котором допущена ошибка в управлении. Запишите словосочетание в исправленном виде. А) уделять внимание мелочам; б) удивлён его лёгкости; в) обидеться на слова; г) обращать внимание на недостатки.
2. Какое слово пишется через дефис? А) (по) моему заказу; б) жил (по) тихоньку; в) так (же) как и раньше; г) оделся (по) летнему.
3. Укажите строчки, в которых на месте пропуска везде пишется две буквы Н. А) разгруже…ы, прославле…ы; б) свежезамороже…ый, глазирова…ый; в) моше…ик, воинстве…о смотреть; г) серебря…ый, неслыха…ый.
4. Укажите все цифры, на месте которых в предложениях должны стоять запятые. Мы поедем сегодня (1) в гости. Сергеев (2) художник по призванию (3) организовал выставку своих картин. Полученный ответ рассматривается (4) как согласие.
5. Укажите предложение с ошибкой в постановке знаков препинания. А) Всю эту весёлую песенку она, кажется, знала наизусть. Б) Не один, а наверное, десять раз я подходил к двери её дома. В) Однако, хитрая политика отца его ничуть не обидела. Г) Прекрасно играете, голубчик!
6. Из сложного предложения «Вот и зима: ночью выпал первый снег» выпишите грамматическую основу односоставного назывного предложения.
7.Выпишите из предложений фразеологизм. Лётчик настаивал на своём, проходя бесконечные медицинские комиссии. Его упорство победило, и ему разрешили вернуться в строй.