Предмет: Математика,
автор: nastya24urban
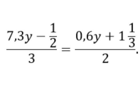
Розв'яжіть рівняння, будь ласка дуже терміново
Приложения:
Ответы
Автор ответа:
1
ответ :
у=25
_
64
можеш скачать photomach
и он поможет
Похожие вопросы
Предмет: Математика,
автор: nurmamatovabatma632
Предмет: Другие предметы,
автор: yuliavolik30
Предмет: Информатика,
автор: lolkash80
Предмет: Математика,
автор: sevakrot27
Предмет: Химия,
автор: Аноним