Предмет: Алгебра,
автор: asiashevchenko
Помогите пожалуйста кто-нибудь
Приложения:
Ответы
Автор ответа:
0
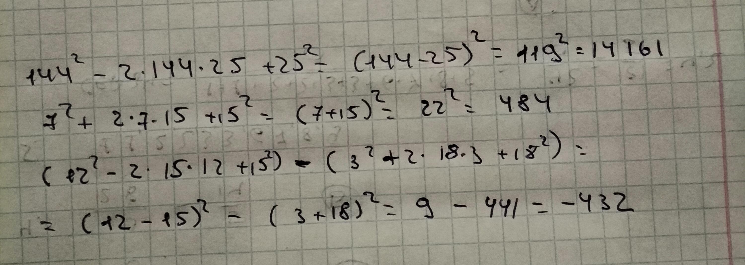
Ответ:
1)14161
2)484
3)-432
Объяснение:
вот я думаю не точно
Автор ответа:
0
Ответ:
1. 14161
2. 484
3. -432
Объяснение: на фото
Приложения:
Похожие вопросы
Предмет: Английский язык,
автор: lubavakonyk
Предмет: Математика,
автор: kovrigapolina4
Предмет: Алгебра,
автор: grecnevaroslav03
Предмет: Геометрия,
автор: доминатор54
Предмет: Математика,
автор: starpolinka06