Предмет: Алгебра,
автор: marinsolovei65
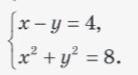
Розв'яжіть методом підстановки систему рівнянь:
БУДЬ ЛАСКА СРОЧНОООО!!!!!
Приложения:
Ответы
Автор ответа:
1
Ответ: (2;-2)
Объяснение:
x=y+4
x=-2+4=2
marinsolovei65:
это так все можно и тетрадь записать да?
ага
спасибо
Похожие вопросы
Предмет: Другие предметы,
автор: Аноним
Предмет: Информатика,
автор: Meir63
Предмет: Информатика,
автор: Meir63
Предмет: Химия,
автор: Exceletr
Предмет: Математика,
автор: emilia3179