Предмет: Математика,
автор: mohovamariaa
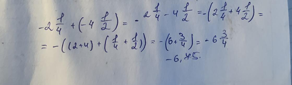
4. Обчисліть -2 цілих 1/4 + -4 цілих 1/2
Ответы
Автор ответа:
0
Рішення на фото внизу
Приложения:
Похожие вопросы
Предмет: Экономика,
автор: surprice202
Предмет: История,
автор: egorrez45
Предмет: Английский язык,
автор: okunevicirina5
Предмет: История,
автор: CubicPie
Предмет: Математика,
автор: Anna8709