Предмет: Математика, автор: anytakut43

Знайти похідну функції. Та обчислити. Допоможіііть...
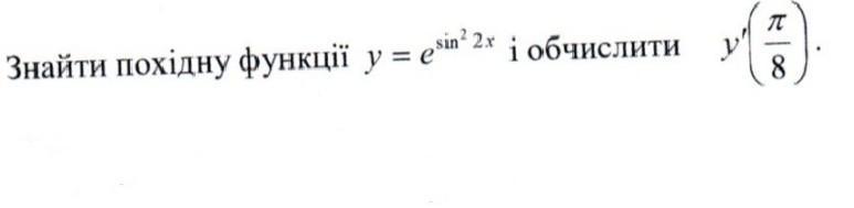
Завдання на фото. 55 б​

Приложения:

Ответы

Автор ответа: NNNLLL54
3

Ответ:

Производная сложной функции .

\bf y=e^{^{sin^22x}}\ \ ,\ \ \ (e^{u})'=e^{u}\cdot u'\\\\\\y'=e^{sin^22x}\cdot (sin^22x)'=e^{sin^22x}\cdot 2\, sin2x\cdot (sin2x)'=\\\\\\=e^{sin^22x}\cdot 2\, sin2x\cdot cos2x\cdot (2x)'=e^{sin^22x}\cdot 2\, sin2x\cdot cos2x\cdot 2=\\\\\\=2e^{sin^22x}\cdot sin4x  

Значение производной в заданной точке .

\bf y'\Big(\dfrac{\pi }{8}\Big)=2\, e^{^{sin^2\frac{\pi }{4}}}\cdot sin\dfrac{\pi }{2}=2\, e^{^{\frac{1}{2}}}\cdot 1=2\, \sqrt{e}

Похожие вопросы
Предмет: Математика, автор: mdastan0408
Предмет: Математика, автор: fettsov10