Предмет: Алгебра,
автор: ZigaZagaXoy
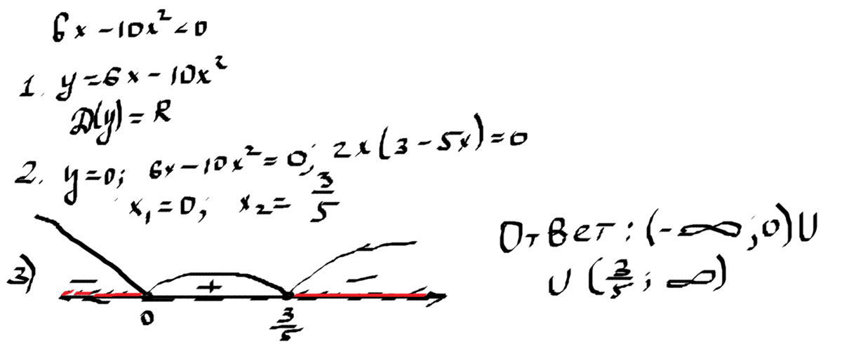
решить неравенство 6x-10x^2<0
Ответы
Автор ответа:
0
6x-10x^2<0
2x(3-5x)<0
======0======5/3=====
--------- +++++++ -------
x=(-oo 0)U(5/3 +oo)
2x(3-5x)<0
======0======5/3=====
--------- +++++++ -------
x=(-oo 0)U(5/3 +oo)
Автор ответа:
0
))) кто-то поймет?)))
Автор ответа:
0
вы поняли ?
Автор ответа:
0
Да)
Автор ответа:
0
}}}}}} поблагодарили значит тоже поняли
Автор ответа:
0
))
Автор ответа:
0
...............................................
Приложения:
Похожие вопросы
Предмет: Русский язык,
автор: kazashkanomer1
Предмет: Математика,
автор: Аноним
Предмет: История,
автор: polupanvalentina51
Предмет: Физика,
автор: frwerqw