Предмет: Алгебра,
автор: grrrrr61r
Помогите пжжжжжжж дам все
Приложения:
Ответы
Автор ответа:
1
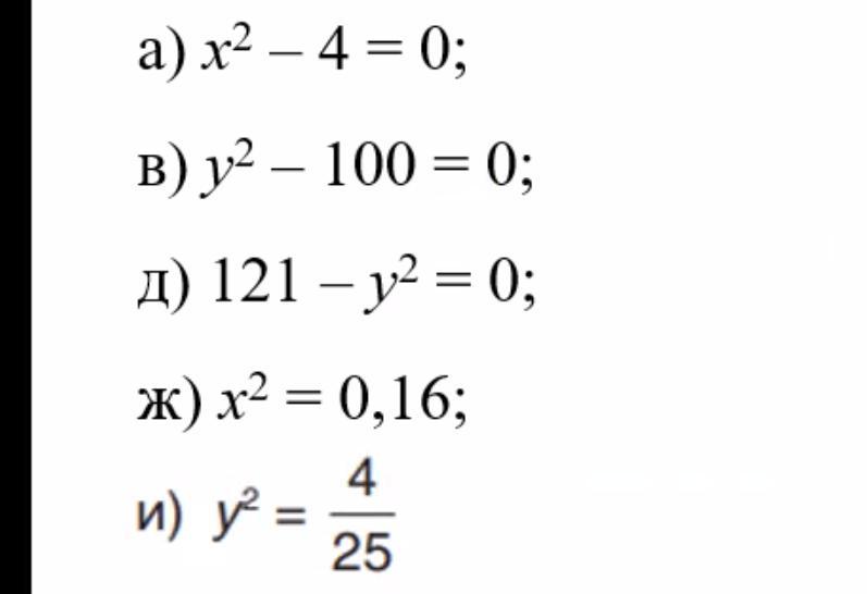
Ответ:
Объяснение:
(x-2)(x+2)=0
x1= -2
x2= 2
(y-10)(y+10)=0
y1= -10
y2= 10
(11-y)(11+y)=0
y1= -11
y2= 11
(x-0,4)(x+0,4)=0
x1= -0,4
x2= 0,4
(y-2/5)(y+2/5)=0
y1= -2/5
y2= 2/5
grrrrr61r:
На фото совсем другое
тоже самое. просто не переписано условие
Похожие вопросы
Предмет: Английский язык,
автор: cffddfdf52
Предмет: Английский язык,
автор: rrtrrt379
Предмет: Геометрия,
автор: prostoak4784745
Предмет: Русский язык,
автор: bomba9977
Предмет: История,
автор: mashaachilova04