Предмет: Алгебра,
автор: isakovanazira010165
Пожалуйста помогите
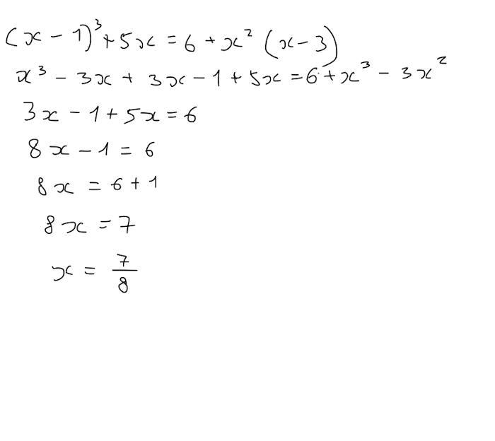
Решите уравнение;(x-1)³ +5x=6+x²(x-3)
Ответы
Автор ответа:
1
Ответ:
можно лучший ответ пожалуйста
Объяснение:
Приложения:
isakovanazira010165:
Большое спасибо вам
Похожие вопросы
Предмет: Физика,
автор: aesthetic46
Предмет: Физика,
автор: aesthetic46
Предмет: Математика,
автор: Kathrynrosemarkey
Предмет: Английский язык,
автор: vetoshkina07
Предмет: Математика,
автор: timarnd06