Предмет: Алгебра,
автор: mashachyuko200
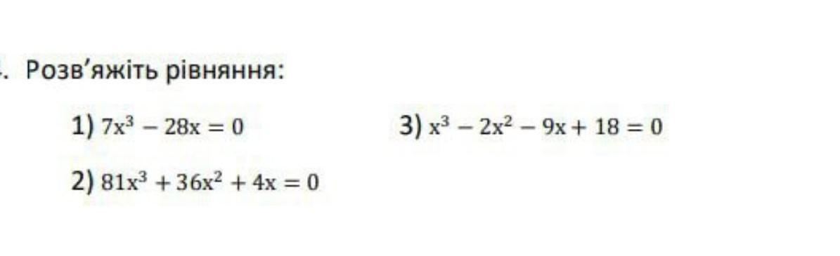
решите пожалуйста, даю много балов
Приложения:
Ответы
Автор ответа:
0
Відповідь:
Пояснення:
Приложения:
Автор ответа:
0
1) x1=-2
x2=0
x3=2
2) x1=-2/9
x2=0
3) x1=-3
x2=2
x3=3
Должно быть правильно
x2=0
x3=2
2) x1=-2/9
x2=0
3) x1=-3
x2=2
x3=3
Должно быть правильно
dims007tatu:
Если я тебе помог, поставь мне пожалуйста «самый лучший ответ»
Похожие вопросы
Предмет: Математика,
автор: alinamar9015
Предмет: Математика,
автор: uliamoroz974
Предмет: Математика,
автор: mopedmoped700
Предмет: Химия,
автор: natab0risovna
Предмет: Українська мова,
автор: mashulyakaspruk