Предмет: Геометрия,
автор: angelinabagrij4
Допоможіть хтось!!! Будь ласка
Приложения:
Ответы
Автор ответа:
0
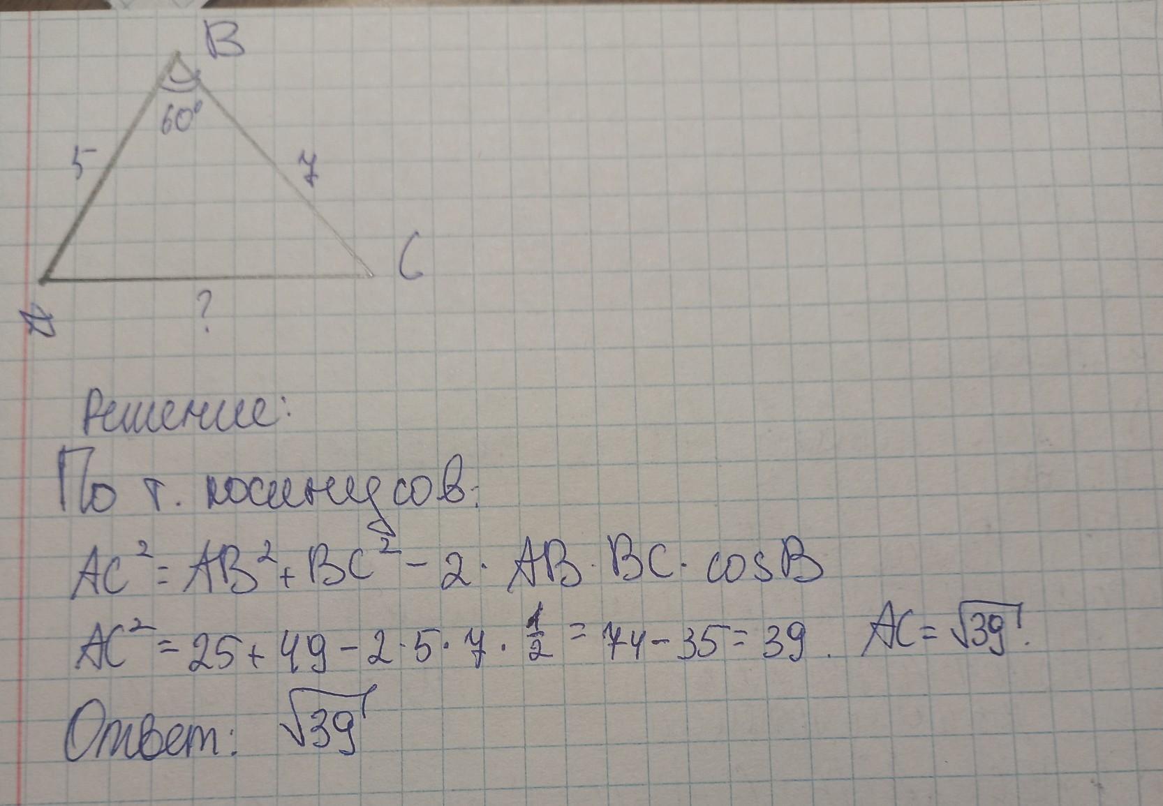
Объяснение:
странный конечно ответ, но вроде же все правильно
Приложения:
Похожие вопросы
Предмет: Алгебра,
автор: nikita117664
Предмет: Английский язык,
автор: prakinformatika
Предмет: Алгебра,
автор: Vitalik13365
Предмет: Математика,
автор: polovnikovrustam37