Предмет: Геометрия, автор: psh82569

Точки А та А' симетричні відносно початку координат. Знайдіть довжину відрізку АА', якщо А(-3;4).  Розв'язок обгрунтувати рисунком на координатній площині. СРОЧНО​

Ответы

Автор ответа: zmeura1204
5

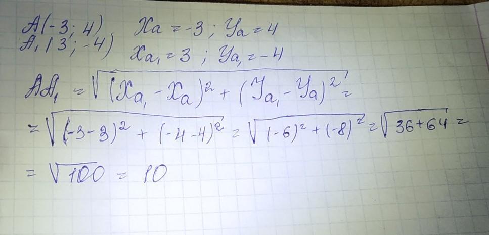
Ответ:

АА1=10

Объяснение:

При симетрії відносно початку координат.

У абсциси і ординати симетричної точки змінюються знаки на протилежні.

A1(3;-4)

Приложения:

marif58: привіт! можеш будь ласка допомогти з геометрією?
Похожие вопросы
Предмет: Физика, автор: polinkaaaerrrr
Предмет: Английский язык, автор: rodionovalena61
Прочитай текст и отметь T(верно), F (не верно), DS (не сказано):
Season of School Friends!

BOB: · Hi, Tim! How are you?
TIM: Fine, thanks. By the way, where did you go in June?
BOB: I visited my Russian cousins and we had a good time together.
TIM: In ·June? But what about school?
BOB: Russian schoolchildren have holidays in June, July and August!
TIM: And we have classes…
BOB: Yes, Russian school is very different! First, pupils come home earlier than we do. At two or three. -
TIM: Yes, that's better. I don't like to come. home at about 5 o'clock.
BOB: Then, we have P.E. classes every day but in Russia they . don't.
TIM: I love our swimming classes! Have they got swimming pools in their schools?
BOB: Well, my cousin told me that some schools have got pools but their school · hasn't.
TIM: They can't swim! .. .
BOB: Yes, they can. My cousins and often swam in the river!
TIM: Is their school neat the river? What -is its name then?
BOB: Well, Tim, Russian schools haven't got names. Their school is number 1256.
TIM: I think it's an old school. Was it built in 1256?
BOB: How funny you are! Of course, it wasn't. It is just a number. -

True (T), false (F), doesn’t say (DS)?

1. Bob was in Russia in summer. _________
2. Bob and ·his cousins went to the .park. _________
3. Bob and Tim come home at two· or three o'clock. _________
4. Bob and Tim have P.E. classes every day. _________
5. Bob's cousins have got a swimming pool in their school. _________
6. Bob's cousins have swimming lessons in the river. _________
7. Russian school number 1256 is 1256 years old. _________