Предмет: Алгебра,
автор: boss8
Найдите значения выражения:
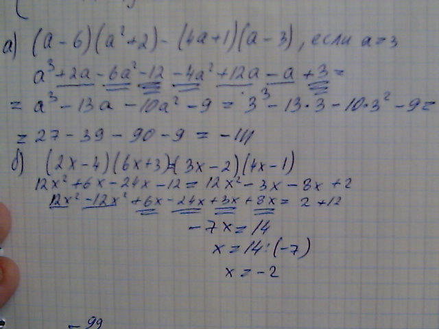
(а-6)(а во 2 степени+2)-(4а+1)(а-3) при а=3
Решите уравние:
(2х-4)(6х+3)=(3х-2)(4х-1)
Ответы
Автор ответа:
0
полное решение обоих заданий на фото)
Приложения:
Похожие вопросы
Предмет: Математика,
автор: tlyasevalfred
Предмет: Биология,
автор: Sasha1221e
Предмет: Литература,
автор: Аноним
Предмет: География,
автор: vernando
Предмет: Литература,
автор: Аноним