Предмет: Алгебра,
автор: resner
СРОЧНО ДАЮ 25 БАЛЛОВ!!!
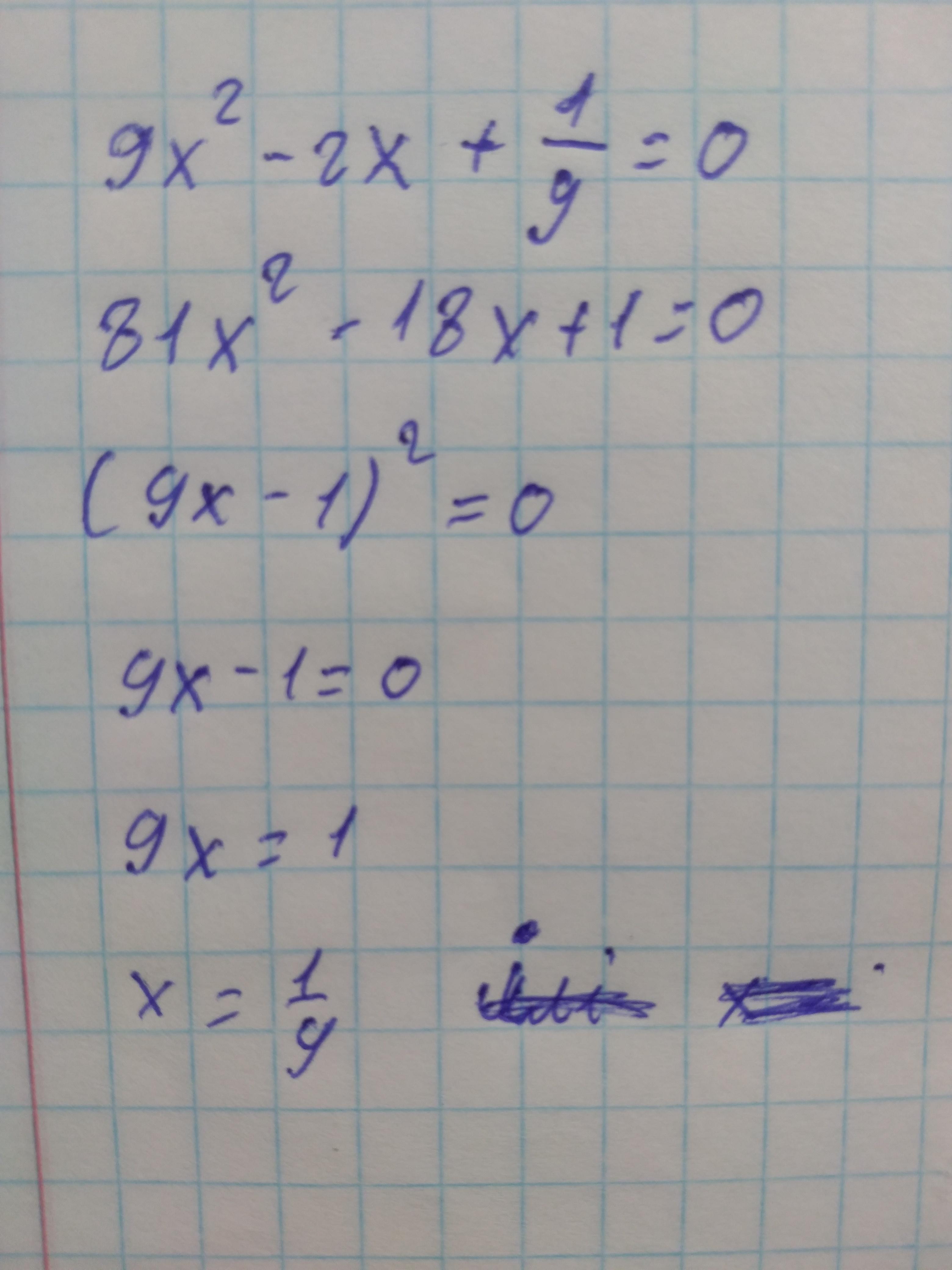
Решить уравнение 9x^2-2x+1/9=0
Приложения:
Ответы
Автор ответа:
0
Ответ:
.
Объяснение:
Думаю так правельно
Приложения:
Похожие вопросы
Предмет: Английский язык,
автор: aiza999
Предмет: Английский язык,
автор: Аноним
Предмет: Алгебра,
автор: krasnovd647
Предмет: Химия,
автор: GonZozo
Предмет: Математика,
автор: ramileiskenderova7