Предмет: Математика,
автор: artompogrebnyj
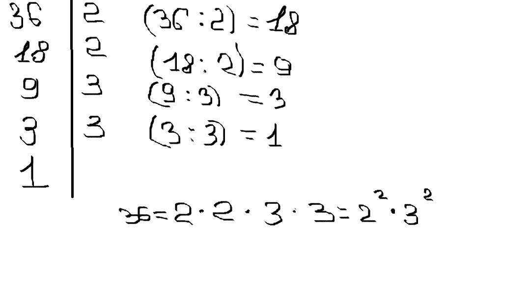
4. Розклади на прості множники числа: 1) 36; 2) 1650.
Ответы
Автор ответа:
1
Дивись відповідь на фото↓
Приложения:
geyedgdhu:
Дякую
Автор ответа:
0
Ответ:
Пошаговое объяснение:
36=3*3*2*2т 1650=5*5*3*11*2
Похожие вопросы
Предмет: Математика,
автор: anankoanastasia22982
Предмет: Английский язык,
автор: valeriamaletych
Предмет: Английский язык,
автор: valeriamaletych
Предмет: Математика,
автор: 19PAPA84