Предмет: Физика,
автор: Diavolhhhh
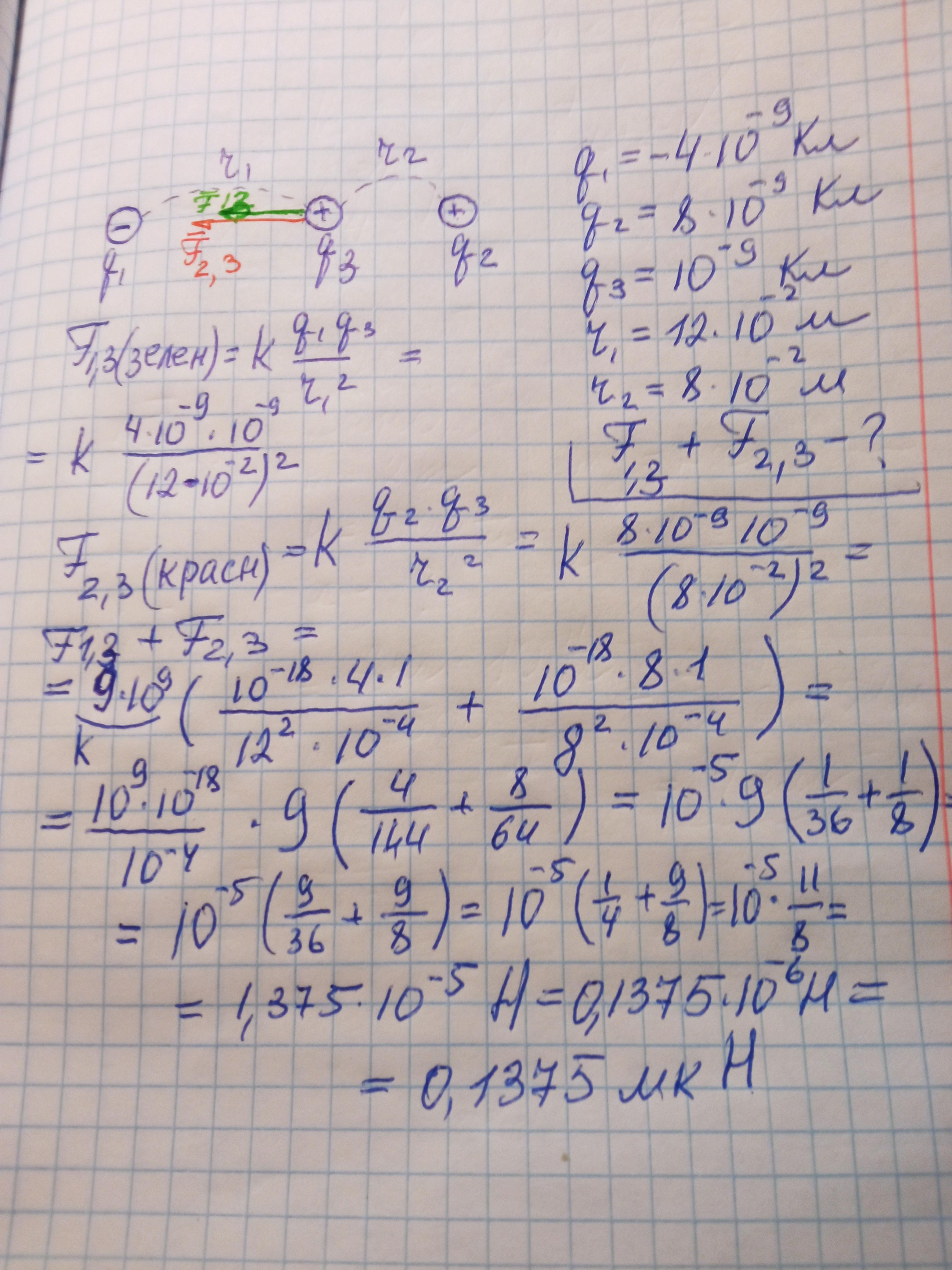
Два заряди -4 нКл і 8 нКл знаходяться на відстані 20 см. Визначте силу, яка діє на третій заряд 1 нКл, що знаходиться на відстані 12 см від першого заряду і 8 см від другого.
Ответы
Автор ответа:
1
Ответ:
Объяснение:.....
Приложения:
valerij2103000000:
Здравствуйте! Могу я Вас попросить, помочь мне с заданием по физике? Если у Вас будет желание и время, то оно прикреплено в моём профиле. Буду очень благодарна, если поможете!
Похожие вопросы
Предмет: Химия,
автор: shishova1992
Предмет: Английский язык,
автор: doomf734
Предмет: Математика,
автор: antonjuupavlenko1
Предмет: Информатика,
автор: kekekekloek
Предмет: Английский язык,
автор: hogify