Предмет: Математика,
автор: marinasaj95
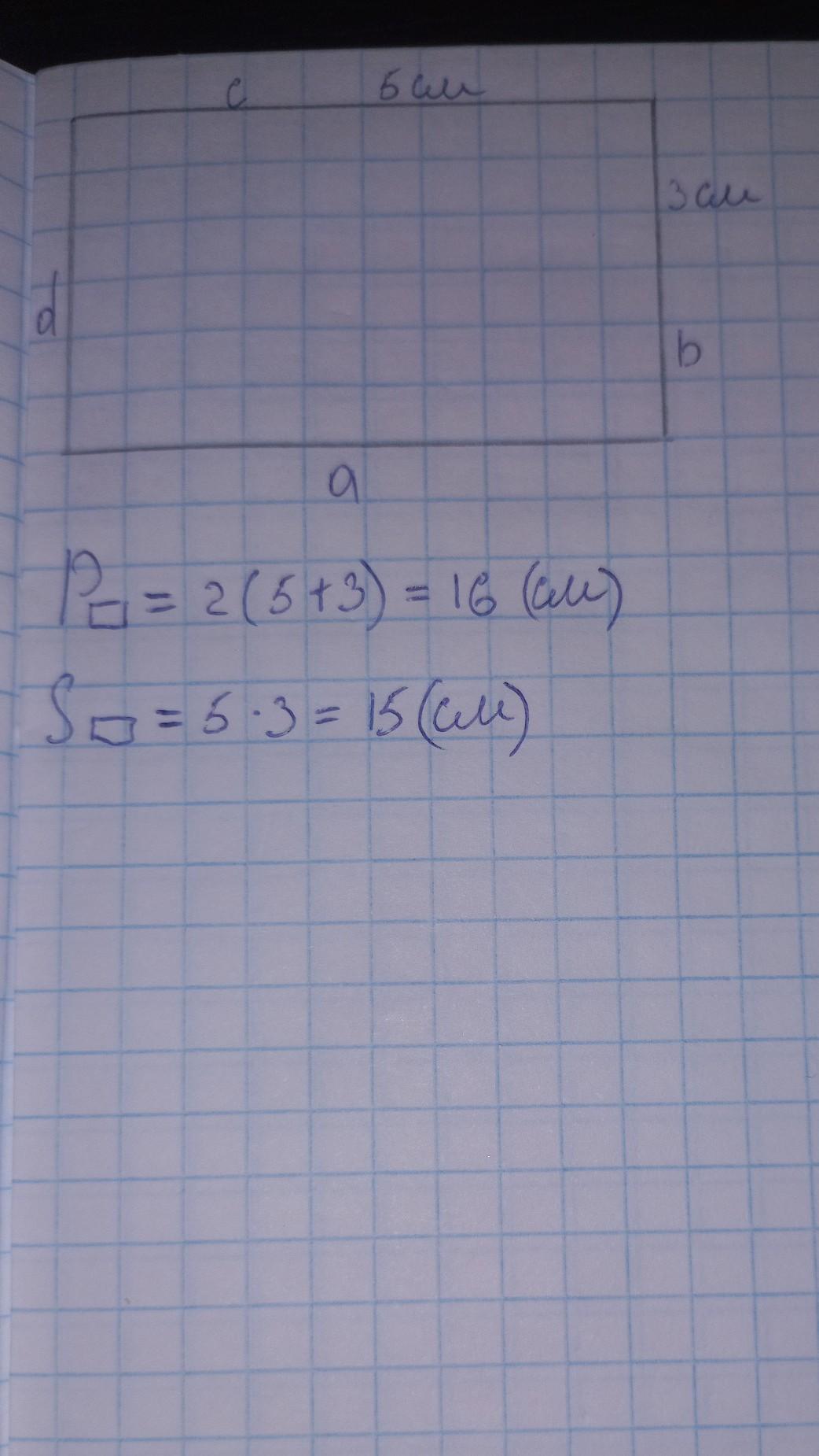
Довжина прямокутника - 5 см, а ширина - 3 см. Накреслити цей прямокутник. Знайди його периметр та площу
marinasaj95:
Дякую
А площу
Ответы
Автор ответа:
2
.................................
Приложения:
Похожие вопросы
Предмет: Английский язык,
автор: Аноним
Предмет: Английский язык,
автор: akberzeynalli2020
Предмет: Физика,
автор: maks60207
Предмет: Информатика,
автор: nikstudentsov
Предмет: Биология,
автор: yarikgeforse