Предмет: Алгебра,
автор: presledovatelistiny
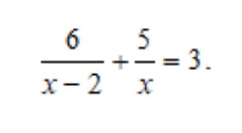
Решить уравнение 10б
Приложения:
Ответы
Автор ответа:
0
17х-10-3х²=0
-3х²+17х-10=0
3х²-17х+10=0
х×(3х-2)-5(3х-2)=0
3х-2=0
0-5=0
х¹=2/3
х²=5
cat14516:
Здравствуйте,помогите пожалуйста с алгеброй !
Похожие вопросы
Предмет: История,
автор: kuznetsov8243
Предмет: Биология,
автор: adelinka9019
Предмет: Математика,
автор: filipp4441
Предмет: Физкультура и спорт,
автор: morozoivashka
Предмет: Математика,
автор: B5474457